Update Corona Jambi 14 Agustus, Pasien Positif Kembali Bertambah 7 Orang
Jumlah pasien positif Corona di Jambi kembali bertambah hari ini, Jum'at (14/8/2020).
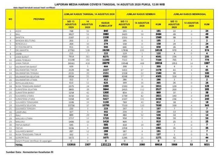
BRITO.ID, BERITA JAMBI - Jumlah pasien positif Corona di Jambi kembali bertambah hari ini, Jum'at (14/8/2020).
Dilansir dari laman Fanspage Badan Nasional Penanggulangan Bencana (BNPB) pasien positif Corona di Jambi bertambah sebanyak 7 orang. Sehingga total pasien positif di Jambi telah mencapai 222 orang.
Selain penambahan pasien positif, jumlah pasien yang dinyatakan sembuh juga bertambah sebanyak 1 orang.
Hingga berita ini diturunkan, belum ada keterangan resmi dari Tim Gugus Tugas Penanganan Covid-19 Provinsi Jambi.
Penulis: Rhizki Okfiandi
