Update Corona Jambi 29 Juli, Pasien Positif Melonjak Naik, Pasien Sembuh Bertambah 2 Orang
Jumlah pasien positif Corona di Jambi hari ini, Rabu (29/7/2020) melonjak naik.
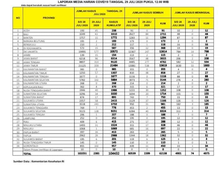
BRITO.ID, BERITA JAMBI - Jumlah pasien positif Corona di Jambi hari ini, Rabu (29/7/2020) melonjak naik.
Dilansir dari laman Fanspage Badan Nasional Penanggulangan Bencana (BNPB), jumlah pasien positif Corona di Jambi bertambah sebanyak 15 orang, sehingga total akumulatif pasien positif Corona di Jambi telah mencapai 154 orang.
Sedangkan untuk jumlah pasien yang dinyatakan sembuh hari ini bertambah 2 orang.
Hingga berita ini diturunkan, belum ada keterangan resmi dari Tim Gugus Tugas Penanganan Covid-19 Provinsi Jambi terkait penambahan tersebut.
Penulis: Rhizki Okfiandi
